Scroll indicator done
728x90

1) 재귀함수

- java

import java.io.*;
import java.lang.reflect.Array;
import java.util.*;

public class Main {
    public void DFS(int n){
        if(n==0) return;
        else {
            DFS(n-1);
            System.out.print(n + " ");
        }
    }

    public static void main(String[] args){
        Main T = new Main();
        T.DFS(3);
    }
}

- python


2) 재귀함수를 이용한 이진수 출력

- java

import java.io.*;
import java.lang.reflect.Array;
import java.util.*;

public class Main {
    public void DFS(int n){
        if(n==0) return;
        else {
            DFS(n/2);
            System.out.print(n%2);
        }
    }

    public static void main(String[] args){
        Main T = new Main();
        T.DFS(11);
    }
}

- python


++ 이진트리 깊이 탐색

전위: 부모 - 왼 - 오

중위: 왼 - 부모 - 오

후위: 왼 - 오 - 부모

>> 부모의 위치가 전 , 중 , 후

import java.io.*;
import java.lang.reflect.Array;
import java.util.*;

public class Main {
    public void DFS(int v){
        if(v > 7) return;
        else {
            System.out.print(v + " ");
            DFS(v*2);
            DFS(v*2+1);
        }
    }

    public static void main(String[] args){
        Main T = new Main();
        T.DFS(1);
    }
}

3) 중복순열

- java

import java.io.*;
import java.lang.reflect.Array;
import java.util.*;

public class Main {
    Stack<Integer> stack = new Stack<>();
    static int n=3, m=2;
    public void DFS(int l){
        if(l == m){
            for(int x : stack) System.out.print(x + " ");
            System.out.println();
        } else {
            for(int i=1; i<=n; i++){
                stack.push(i);
                DFS(l+1);
                stack.pop();
            }
        }
    }

    public static void main(String[] args){
        Main T = new Main();
        T.DFS(0);
    }
}

- python


4) 순열 구하기

- java

package ch06;

import java.io.*;
import java.util.*;

public class 순열구하기 {
    static int[] ch, arr;
    static int n, m;
    Stack<Integer> pm = new Stack<>();
    public void DFS(int L){
        if(L==m){
            for(int x : pm) System.out.print(x+" ");
            System.out.println();
        }
        else{
            for(int i=0; i<n; i++){
                if(ch[i]==0){
                    ch[i]=1;
                    pm.push(arr[i]);
                    DFS(L+1);
                    ch[i]=0;
                    pm.pop();
                }
            }
        }
    }
    public static void main(String[] args){
        순열구하기 T = new 순열구하기();
        Scanner kb = new Scanner(System.in);
        n=kb.nextInt();
        m=kb.nextInt();
        arr=new int[n];
        for(int i=0; i<n; i++) arr[i]=kb.nextInt();
        ch=new int[n];
        T.DFS(0);
    }
}

- python


5) 가장 가까운 큰수

- java

package ch06;

import java.io.*;
import java.util.*;

public class 가장가까운큰수 {
    int answer=0, target, m;
    ArrayList<Integer> nums=new ArrayList<>();
    Stack<Integer> pm = new Stack<>();
    int[] ch;
    boolean flag=false;

    public void DFS(int L){
        if(flag) return;
        if(L==m){
            answer=0;
            for(int x : pm) answer=answer*10+x;
            if(answer>target) flag=true;
        }
        else{
            for(int i=0; i<m; i++){
                if(ch[i]==0){
                    ch[i]=1;
                    pm.push(nums.get(i));
                    DFS(L+1);
                    ch[i]=0;
                    pm.pop();
                }
            }
        }
    }
    public int solution(int n){
        target=n;
        int tmp=n;
        while(tmp>0){
            int t=tmp%10;
            nums.add(t);
            tmp=tmp/10;
        }
        Collections.sort(nums);
        m=nums.size();
        ch=new int[m];
        DFS(0);
        if(flag==false) return -1;
        return answer;
    }

    public static void main(String[] args){
        가장가까운큰수 T = new 가장가까운큰수();
        System.out.println(T.solution(123));
    }
}

- python


6) 조합 구하기

- java

import java.util.*;
class Main{
    static int n, m;
    Stack<Integer> combi = new Stack<>();
    public void DFS(int L, int s){
        if(L==m){
            for(int x : combi) System.out.print(x+" ");
            System.out.println();
        }
        else{
            for(int i=s; i<=n; i++){
                combi.push(i);
                DFS(L+1, i+1);
                combi.pop();
            }
        }
    }
    public static void main(String[] args){
        Main T = new Main();
        Scanner kb = new Scanner(System.in);
        n=kb.nextInt();
        m=kb.nextInt();
        T.DFS(0, 1);
    }
}

- python


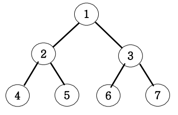
++ 이진트리 레벨 탐색

[1, 2, 3, 4, 5, 6, 7]

import java.util.*;
class Main {
    ArrayList<Integer> answer = new ArrayList<>();
    public ArrayList<Integer> solution(int n){
        Queue<Integer> Q=new LinkedList<>();
        Q.offer(1);
        int L=0;
        while(!Q.isEmpty()){
            int len=Q.size();
            for(int i=0; i<len; i++){
                int v=Q.poll();
                answer.add(v);
                for(int nv : new int[]{v*2, v*2+1}){
                    if(nv>n) continue;
                    Q.offer(nv);
                }
            }
            L++;
        }
        return answer;
    }
    public static void main(String[] args){
        Main T = new Main();
        System.out.println(T.solution(7));
    }
}

7) 송아지 찾기

- java

import java.util.*;
class Main {
    public int solution(int s, int e){
        int ans;
        Queue<Integer> q = new LinkedList<>();
        int[] check = new int[10001];
        q.offer(s);
        check[s] = 1;
        int l = 0;
        while(!q.isEmpty()){
            int len = q.size();
            for(int i=0; i<len; i++){
                int x = q.poll();
                for(int nx : new int[]{x+1, x-1, x+5}){
                    if(nx == e) return l+1;
                    if(nx >= 1 && nx <= 10000 && check[nx] == 0){
                        check[nx] = 1;
                        q.offer(nx);
                    }
                }
            }
            l++;
        }
        return 0;
    }
    public static void main(String[] args){
        Main T = new Main();
        System.out.println(T.solution(8, 3));
    }
}

- python


8) 미로의 최단거리 통로

- java

import java.util.*;

class Point {
    public int x, y;

    Point(int x, int y){
        this.x=x;
        this.y=y;
    }
}

class Main {
    public int solution(int[][] board){
        int[] dx = {-1, 0, 1, 0};
        int[] dy = {0, 1, 0, -1};
        int[][] dis = new int[7][7];
        Queue<Point> q = new LinkedList<>();
        q.offer(new Point(0, 0));
        board[0][0] = 1;
        while(!q.isEmpty()){
            Point tmp = q.poll();
            for(int i=0; i<4; i++){
                int nx = tmp.x + dx[i];
                int ny = tmp.y + dy[i];
                if(nx >= 0 && nx < 7 && ny >= 0 && ny < 7 && board[nx][ny] == 0){
                    board[nx][ny] = 1;
                    q.offer(new Point(nx, ny));
                    dis[nx][ny] = dis[tmp.x][tmp.y] + 1;
                }
            }
        }
        if(dis[6][6] == 0) return -1;
        else return dis[6][6];
    }
    public static void main(String[] args){
        Main T = new Main();
        int[][] arr = new int[][]{{0, 0, 0, 0, 0, 0, 0},
                {0, 1, 1, 1, 1, 1, 0},
                {0, 0, 0, 1, 0, 0, 0},
                {1, 1, 0, 1, 0, 1, 1},
                {1, 1, 0, 1, 0, 0, 0},
                {1, 0, 0, 0, 1, 0, 0}, {1, 0, 1, 0, 0, 0, 0}};
        System.out.println(T.solution(arr));
    }
}

- python


 

 

 

728x90